Bab 2 : Elektrostatika : Hukum Coulumb dan Hukum Gaus (Lanjutan)
Bab 2 :
Elektrostatika : Hukum Coulumb dan Hukum Gaus (Lanjutan)
A. GayaListrik oleh Benda Kontinu
- Apa yang telah kita bahan sebelumnya adalah gaya listrik antar benda titik (partikel), baik yang hanya melibatkan dua partikel atau
banyak partikel - Namun, dalam realitas kita tidak selalu menjumpai benda bermuatan
listrik dalam bentuk partikel. Yang kita jumpai adalah benda yang bermuatan listrik benrupa benda besar (benda kontinu) - Gaya listrik antara benda besar bermuatan listrik lebih sulit untuk
dihitung - Misalkan ada muatan titik (partikel) di dekat benda besar yang bermuatan listrik. Kita tidak dapat menggunakan persamaan sebelumnya karena jarak muatan titik ke bagian-bagian benda besar
tersebut berbeda - Agar dapat menyelesaikan persoalan tersebut maka kita lakukan
langkah berikut ini- Kita bagi benda besar tersebut atas elemen-elemen kecil di mana tiap elemen dapat dipandang sebagai sebuah titik (diilustrasi pada Gambar di bawah).
- Dengan demikian, benda besar yang bermuatan Q tersebut dapat dipandang sebagai susunan titik-titik (elemen-elemen kecil). Tiap titik melakukan gaya dengan muatan q.

- Dengan demikian gaya antara benda besar dapat dipandang sebagai
gaya antara muatan titik yang sangat banyak yang letaknya besentuhan dengan muatan titik q - Oleh karena itu, gaya total yang dialami muatan q dihitung menggunakan persamaan di atas.
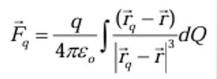
- Karena volume elemen menuju nol, maka jumlah elemen menuju tak berhingga, atau N -> ∞. Bentuk penjumlahan dengan N ->∞ . Ini merupakan definisi dari integral seperti yang dipelajari di mata kuliah matematika dasar. Jadi, bentuk integral dari gaya yang dialami muatan q menjadi:

- Sebagai ilustrasi aplikasi persamaan di atas, mari kita hitung gaya pada muatan titik yang dilakukan oleh batang bermuatan.
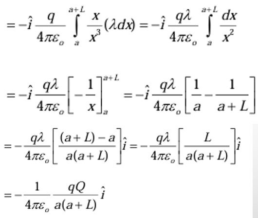
- Pertama kita akan bahas gaya pada muatan titik q oleh batang yang bermuatan Q dan memiliki panjang L di mana muatan q berada di sumbu batang.
- Kita anggap sebaran muatan batang adalah homogen.
- Kita tinjau kasus muatan q ditempatkan pada sumbu batang dan pada jarak a dari ujung terdekat batang seperti pada gambar berikut.


- Karena muatan q berada pada sumbu batang maka pastikan arah gaya pada muatan tersebut sejajar dengan sumbu batang. Tiap elemen pada batang melakukan gaya yang arahnya sama pada muatan q sehingga kita bisa membahas persoalan secara scalar. Kita ambil sumbu batang berada pada sumbu-x seperti pada berikut:



Materi lengkap bisa dilihat pada file modul di bawah ini...
File Materi
Login Terlebih Dahulu